《华尔街日报》今日报道的一则新闻引发热议,一位60岁的硅谷科技男为免遭裁员,选择整容来让自己看起来更年轻。整容行为表面上是对职场处境和容貌的焦虑,其根源是对衰老的抗拒。然而,此举也折射出一个普遍误区:依靠医美维持的“视觉年轻”,就等于真正的年轻吗?

在科学界,衡量身体真实衰老程度的标尺是“生理年龄”。2013年,生物统计学家史蒂夫·霍瓦斯(Steve Horvath)开发出第一个“衰老时钟”[2],让我们能通过血液或唾液中的生物标志物,初步量化一个人的衰老速度。
不过,这类检测依然离不开实验室,既不能频繁进行,也无法反映日常生活中的身体变化。有没有更简单、更连续的方式呢?
最近,一项发表在《自然·通讯》上的研究带来了新答案——苹果公司与普林斯顿大学合作,推出了一种名为 PpgAge 的衰老评估工具,直接把“衰老时钟”戴在了我们手腕上。只要戴上智能手表,它就能无创、低成本、高频次地测量你的“衰老速度”[1]。

手腕上的健康标尺——PpgAge
PpgAge,全称为“Photoplethysmography Age”,中文是“光电容积脉搏波年龄”。听起来复杂,其实原理并不陌生,大多智能穿戴设备都是基于这个原理——它是利用智能手表背部的绿色LED灯和传感器,捕捉手腕处血液流动的微小变化,描记出每一次心跳的脉搏波形。
但这次,研究人员从中挖掘出了更深层的信息:脉搏波形中其实隐藏着血管弹性、心脏泵血效率等关键指标,而这些正是衡量身体老化程度的重要线索。
为了训练这个“衰老时钟”,研究团队分析了来自21万多名参与者、近1.5亿人天的真实数据。他们首先筛选出一批“健康标准人群”——无慢性疾病、不服药、不吸烟的人,用他们的数据建立了一条“理想衰老曲线”。
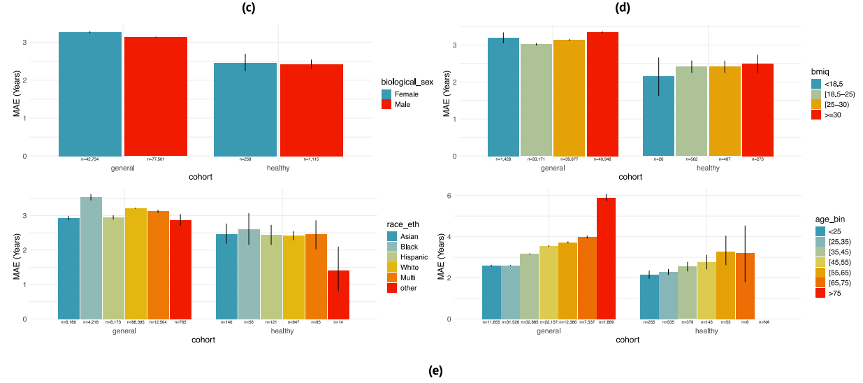
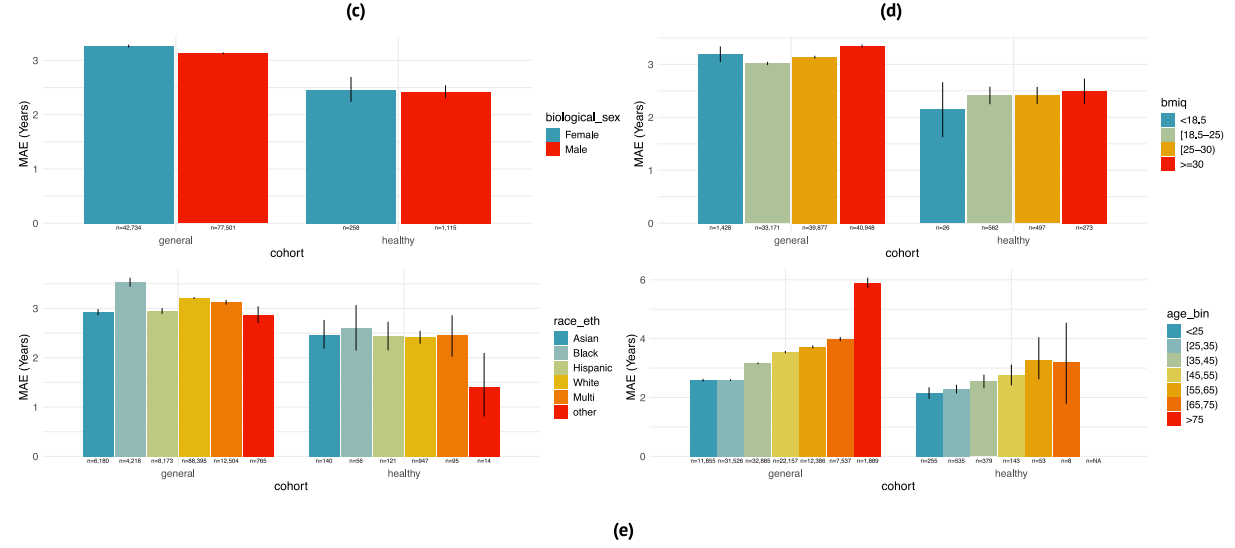
接着,通过深度学习模型分析每段60秒脉搏信号中的256维特征,PpgAge成功在健康人群中实现了约2.4岁的平均年龄误差;即便是普通人群,误差也仅在3.2岁左右。这个准确度,已经优于心电图、脑电图等传统生理年龄评估方法。

更重要的是,PpgAge在不同性别、种族和体型群体中的表现一致,说明其具有良好的普适性和稳定性。

PpgAge Gap:测年龄,更是测健康
知道自己的“生物年龄”固然重要,但是,用“预测年龄”减去“实际年龄”得到的PpgAge Gap差值才是核心指标。研究人员发现,这个“年龄差”的大小与个体的健康状况密切相关。通常,PpgAge Gap差值越大,即身体比实际年龄更“显老”,患病风险就越高;反之,差值越小,身体更“年轻”,健康状况也更好。
举个例子,在35–45岁女性中,平均糖尿病患病率为6.3%;
• 但如果PpgAge Gap差值大于6岁,患病率会跃升至14.9%,是平均水平的2倍多;
• 而那些PpgAge Gap 差值低于-2岁的“更年轻”群体,患病率只有3.7%。

此外,研究还发现,排除了年龄、性别、体重等传统因素,PpgAge Gap差值可作为预测未来心脏病与糖尿病的独立风险指标,其影响甚至超过高血压或高胆固醇病史。具体来说,PpgAge Gap > 6年的人群,糖尿病患病风险达到平均的 2.38倍,心脏病风险更是飙升至 3.46倍[1]。
这说明PpgAge Gap 不仅仅是事后统计,更是一台前瞻性的健康预警雷达。
你的生活方式,都会反映在“年龄差”里
PpgAge Gap 不仅评估我们的疾病风险,还会记录并监督我们的生活方式。
• 吸烟:吸烟越多,PpgAge Gap越大。年轻时不明显,但随着年龄增长,差距会拉大到3岁以上;
• 运动:运动越多,PpgAge Gap越小。中老年人群中,活跃者与久坐者的“年龄差”可达2–3岁;
• 睡眠:深睡时间每多1小时,PpgAge Gap降低近1岁;入睡后进入第一个快速眼动睡眠的时间越短,PpgAge Gap也越小。

也就是说,你熬的每一次夜、少走的每一步路,身体都默默记着账,并如实地写进了你的“年龄差”里。
我们离“抗衰老手表”还有多远?
尽管PpgAge最长追踪时间也仅有4年,但PpgAge无疑为未来衰老监测指明了一个方向:衰老监测正变得越来越个性化、常态化、无创化。同时也告诉我们,“衰老”这个抽象的过程,也许不久之后,就能像血糖、血压一样逐渐变成具体的数据,只需抬一下手腕,随时了解自己的“身体年龄”。
正如研究者所言:“一个易于采集的衰老时钟,有望在更细的时间尺度上揭示干预措施的效果,成为研究人类长寿、监测患者健康、评估新疗法的有力工具。”

未来,我们或许无法阻止时间的流逝,但借助这样的科技,随时监测,及时矫正,我们或许能让身体的时钟,走得从容一些,再慢一些。
参考资料:
[1]Miller, A. C. et al. A wearable-based aging clock associates with disease and behavior. Nature Communications 16, (2025).
[2]Horvath, S. DNA methylation age of human tissues and cell types. Genome Biol. 2013;14(10):R115.