你会每天额外补充一些维生素吗?
如果会,是因为“别人都吃,我也吃”?还是听人说“能提高免疫力、延缓衰老”?抑或者只是图个心安?复合维生素(MVM)是全球销量最高的膳食补充剂之一,但科学界对它的“抗衰老”功效,一直缺少一个明确的答案。

有意思的是,一些单一维生素的衰老干预作用,其实已经被证实过了。比如,补充维生素D与表观遗传衰老的减缓有关[1];B族维生素补充可能影响与衰老相关的DNA甲基化模式[2]。还有维生素E、类胡萝卜素等抗氧化营养素,虽然证据不如前两者扎实,但也一直被认为与衰老的核心机制之一“氧化应激”密切相关。
既然“单打独斗”都可能有效,那么问题来了:如果把这些东西放一起、一次性补全,效果会不会更好?
但证据呢?

过去,大多数关于复合维生素的研究,要么是观察性的,容易受“吃维生素的人本来就更健康”这种因素干扰,要么结论不一致。直到最近,《Nature Medicine》发表了一项大型、随机、双盲、安慰剂对照的临床试验,终于给了一个可靠的答案[3]。
这项研究是怎么做的?
这项研究是COSMOS(可可补充剂和多种维生素结果研究)的一部分。COSMOS本身就是一项针对老年人的大型随机对照试验——这是检验因果关系的“金标准”,不是问“吃维生素的人怎么样”,而是随机让人吃或不吃,然后看差异。
研究者从COSMOS中选取了958名平均70岁的健康老年人,把他们分成几组:
一组每天吃复合维生素-矿物质;
一组每天补充可可黄烷醇;
一组吃安慰剂。
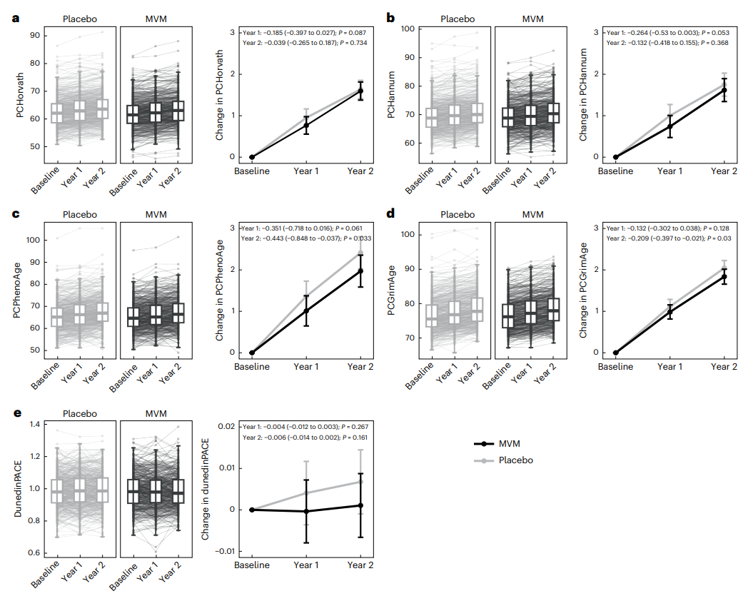
研究持续了2年,期间定期抽血检测。他们关注的核心指标是“表观遗传时钟”——一个能反映生物年龄变化的分子指标,已被广泛用于评估抗衰老干预的效果[4][5]。
复合维生素到底有没有用?
先说核心结论:有用,但效果很温和。
与安慰剂组相比,每天吃复合维生素的人,其生物衰老速度显著减缓,PCGrimAge和PCPhenoAge分别每年延缓0.214年和0.113年,换算一下,相当于2年后生物年龄比实际年龄分别年轻了2.7和5.1个月[3]。

研究者估算,这种减缓大约相当于未来10年内癌症风险降低3%到7%。这个数字不是凭空猜的——它与此前复合维生素预防癌症的研究结果基本吻合。比如,2012年发表的医师健康研究II发现,每天服用复合维生素的男医生,总癌症风险降低了8%[6];2022年发表的COSMOS主试验也报告,复合维生素使肺癌风险降低了38%[7]。
对于其中潜在的机制,研究指出,复合维生素能显著改变PCGrimAge的多个核心组分,包括增加端粒长度、降低β-2微球蛋白、降低胱抑素C、降低GDF-15等相关指标,表明其可能通过延缓细胞衰老、减轻炎症、改善肾功能和改善线粒体功能等多个衰老相关通路,产生延缓衰老的协同效应。
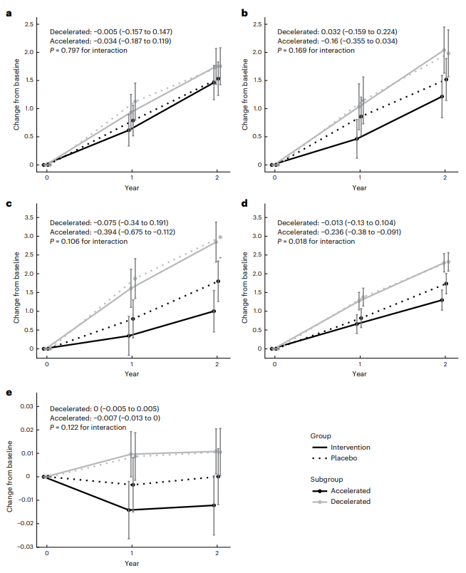
不过,真正有意思的发现,不是“有没有用”,而是“对谁最有用”。

研究人员把参与者按基线时的生物衰老状况分了组。结果显示,复合维生素的益处,几乎全部集中在基线时“生物年龄大于实际年龄”(即衰老加速)的人群身上,而对于本身衰老速度正常的人,补充维生素没有明显效果。
这说明什么?复合维生素可能主要通过填补营养缺口来发挥作用。如果你不缺,也就没有缺口可填。这也解释了为什么之前一些研究结论不一致,可能是把“需要的人”和“不需要的人”混在一起分析了。
至于可可黄烷醇,虽然之前研究表明它对心血管有益[8],且可能影响DNA甲基化 (就是我们常说的“表观遗传”)[9],但在这项新研究中,它对所有衰老时钟都没有显著影响,即并没有表现出延缓衰老的效果。
这个结果意味着什么?
先说值得肯定的地方。这是首个大型随机对照试验直接证明,复合维生素能影响生物衰老标志物。而且效果虽然温和,但与之前观察到的临床益处(降低癌症、改善认知)方向一致,增加了结果的可信度。
但也有需要冷静看待的地方。
1.效果很小。一年慢2个月,不是“逆龄”或“青春永驻”,论文中也坦承地说是“small effect”[3]。
2.人群有限。近90%是白人,结论能否推广到其他人群,还需要验证。
3.临床终点未证实。表观遗传时钟变慢,最终是否能转化为更长的寿命、更低的心血管病风险,还需要更长时间、更大样本的研究来确认。这是所有表观遗传衰老研究面临的共同挑战。
所以,要不要每天吃维生素?
如果你期待一个“是或否”的简单答案,可能会失望。基于这项研究,长寿之家changshou.com给出的建议是:
它不是“万能药”
不能弥补熬夜、久坐、不健康饮食带来的伤害。延缓衰老从来不是一颗药片能解决的问题,要从睡眠、饮食、运动、心理等方面综合评估。
它可能对“有需要的人”更有效
如果你的饮食不太均衡,或者感觉自己状态比同龄人差,这项研究提供了值得期待的证据。
别盲目加量
复合维生素已经包含日常所需量,额外过量补充某些单一维生素反而有害。复合维生素本身的安全性很高,但“吃越多越好”在任何营养问题上都不成立。
考虑其他多通路协同干预衰老的产品

比如,赛诺根的SRN-901已被证实可激活哺乳动物的DNA修复、细胞信号传导、免疫机能、衰老细胞凋亡等与长寿相关的四大通路,从而延长健康寿命。
咨询专业人士
如果真想尝试,问问专业医生或营养师,比自己在网上搜半天要靠谱得多。
确实,复合维生素能减缓生物衰老,但效果温和,且主要对“衰老加速”的人有效。它更像是给有需要的人准备的“补丁”,而不是人人通用的“青春药”。下次当你拿起那瓶维生素时,可以先想想:我的身体,真的需要它吗?
参考资料:
[1] Chen, L., et al. "Effects of vitamin D3 supplementation on epigenetic aging in overweight and obese African Americans with suboptimal vitamin D status: a randomized clinical trial." J Gerontol A Biol Sci Med Sci 74, 91-98 (2019).
[2] Sae-Lee, C., et al. "Dietary intervention modifies DNA methylation age assessed by the epigenetic clock." Mol Nutr Food Res 62, e1800092 (2018).
[3] Li, S., et al. "Effects of daily multivitamin–multimineral and cocoa extract supplementation on epigenetic aging clocks in the COSMOS randomized clinical trial." Nature Medicine (2026).
[4] Moqri, M., et al. "Biomarkers of aging for the identification and evaluation of longevity interventions." Cell 186, 3758-3775 (2023).
[5] Belsky, D.W., et al. "DunedinPACE, a DNA methylation biomarker of the pace of aging." Elife 11, e73420 (2022).
[6] Gaziano, J.M., et al. "Multivitamins in the prevention of cancer in men: the Physicians' Health Study II randomized controlled trial." JAMA 308, 1871-1880 (2012).
[7] Sesso, H.D., et al. "Multivitamins in the prevention of cancer and cardiovascular disease: the COcoa Supplement and Multivitamin Outcomes Study (COSMOS) randomized clinical trial." Am J Clin Nutr 115, 1501-1510 (2022).
[8] Sesso, H.D., et al. "Effect of cocoa flavanol supplementation for the prevention of cardiovascular disease events: the COcoa Supplement and Multivitamin Outcomes Study (COSMOS) randomized clinical trial." Am J Clin Nutr 115, 1490-1500 (2022).
[9] Fang, M.Z., et al. "Tea polyphenol (-)-epigallocatechin-3-gallate inhibits DNA methyltransferase and reactivates methylation-silenced genes in cancer cell lines." Cancer Res 63, 7563-7570 (2003).